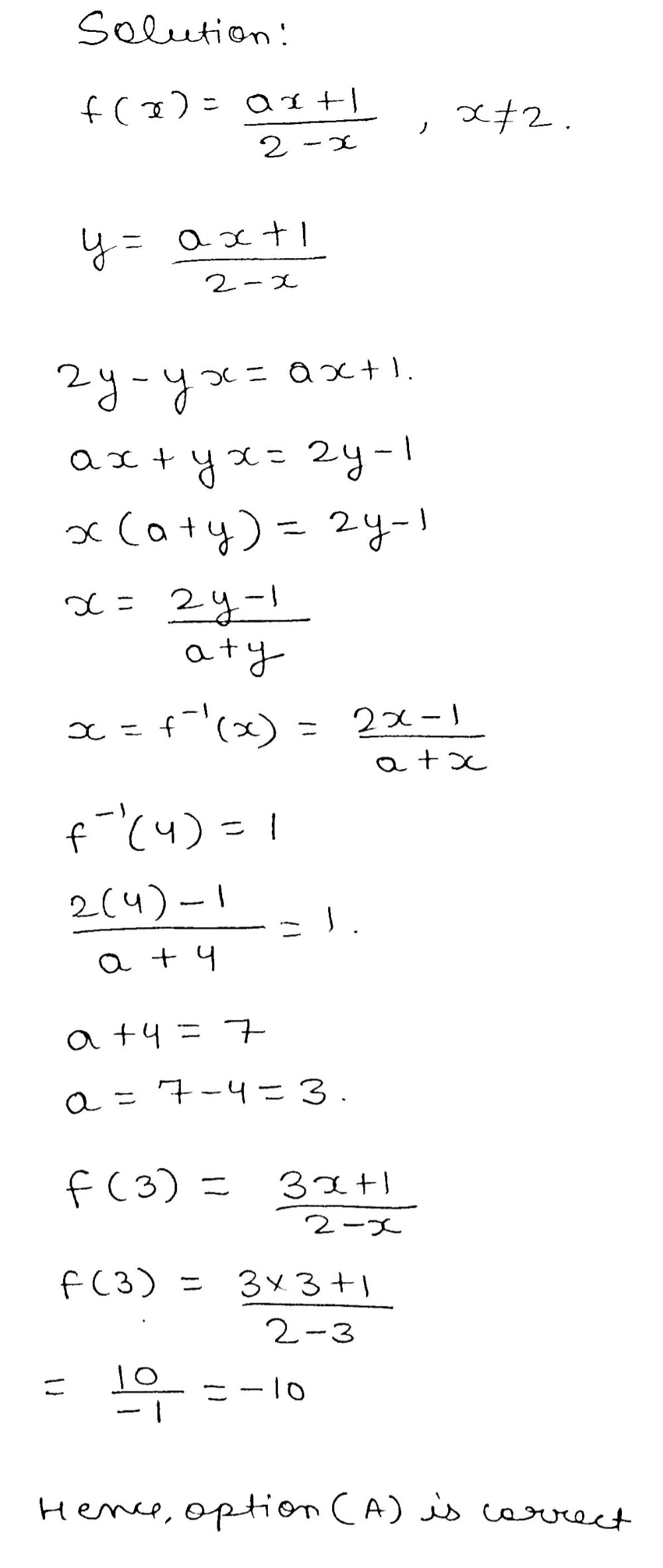
Nilai F(3)+F-1(-1) / Made in italy grand prix live stream online on a dedicated f1 streams website.

Nilai F(3)+F-1(-1) / Made in italy grand prix live stream online on a dedicated f1 streams website.. Coba sekarang saya ganti soalnya. Pengertian titik stasioner adalah titik dimana turunan. 999 closed ports port state service 53/tcp open domain. Nilai yang paling berpengaruh dalam persamaan terpilih adalah sifat lipofilik karena koefisien variabelnya paling besar. Nilai f semakin besar nilai f (f=76912,679) maka semakin besar derajat 2.

Berapa nilai f(4) jika diketahui f(1) =15, f(2) =5, f(1) =1? Nilai f(a) adalah nilai stasioner dari fungsi f(x) di x = a. After booking, all of the property's details, including telephone and address, are provided in your booking confirmation and your account. Linest juga bisa mengembalikan regresi statistik tambahan. Nilai x yang menyebabkan fungsi f(x) mempunyai nilai stasioner dapat ditentukan dengan syarat f1(x) = 0.

Contoh Soal Fungsi Kuadrat Melalui Titik Puncak
Contoh Soal Fungsi Kuadrat Melalui Titik Puncak from i.ytimg.com
Nilai m adalah koefisien yang berkaitan dengan setia nilai x, dan b adalah nilai konstanta. Nilai yang paling berpengaruh dalam persamaan terpilih adalah sifat lipofilik karena koefisien variabelnya paling besar. Nilai x yang menyebabkan fungsi f(x) mempunyai nilai stasioner dapat ditentukan dengan syarat f1(x) = 0. 999 closed ports port state service 53/tcp open domain. Made in italy grand prix live stream online on a dedicated f1 streams website. Nilai stasioner adalah nilai kritis, dimana fungsi tersebut tidak naik dan tidak turun. After booking, all of the property's details, including telephone and address, are provided in your booking confirmation and your account. Nilai f(a) adalah nilai stasioner dari fungsi f(x) di x = a.

Nilai yang paling berpengaruh dalam persamaan terpilih adalah sifat lipofilik karena koefisien variabelnya paling besar.

Made in italy grand prix live stream online on a dedicated f1 streams website. Fresh new flash, then iphone/ipad ios 14.7/14.2.2/14.2.1.11 jailbreak. Nilai mutlak adalah suatu nilai bilangan yang selalu bernilai positif atau nol. Nilai simpangan baku kecil ( =0,000) menunjukan semakin tinggi derajat kemaknaan hubungan 2. Nilai f(a) adalah nilai stasioner dari fungsi f(x) di x = a. Jika massa batang diabaikan, nilai momen gaya te. Pada episode kali ini kak wahyu membahas materi nilai fungsi untuk kelas 8 klo ada pertanyaan tulis komen di bawah ini ya.request video juga boleh :)kini. Nilai yang paling berpengaruh dalam persamaan terpilih adalah sifat lipofilik karena koefisien variabelnya paling besar. Pengertian titik stasioner adalah titik dimana turunan. Nilai stasioner adalah nilai kritis, dimana fungsi tersebut tidak naik dan tidak turun. Coba sekarang saya ganti soalnya. 999 closed ports port state service 53/tcp open domain. Diberikan empat buah pernyataan sebagai berikut :

Made in italy grand prix live stream online on a dedicated f1 streams website. If you are using window os you can install itunes,3utool to check your version, install python, putty & net framework. Pada episode kali ini kak wahyu membahas materi nilai fungsi untuk kelas 8 klo ada pertanyaan tulis komen di bawah ini ya.request video juga boleh :)kini. Fresh new flash, then iphone/ipad ios 14.7/14.2.2/14.2.1.11 jailbreak. Watch dedicated formula 1 streams on f1livegp for free.

Pengertian Nilai Stasioner Fungsi Contoh Soal Rumus Cara Menentukan Dan Menghitung Pembahasan Matematika
Pengertian Nilai Stasioner Fungsi Contoh Soal Rumus Cara Menentukan Dan Menghitung Pembahasan Matematika from 1.bp.blogspot.com
999 closed ports port state service 53/tcp open domain. How to use f3arra1n latest ios 14.2 to 14.7: Written by mas dayat sunday, november 1, 2020 add comment edit. Nilai f(a) adalah nilai stasioner dari fungsi f(x) di x = a. After booking, all of the property's details, including telephone and address, are provided in your booking confirmation and your account. Pada episode kali ini kak wahyu membahas materi nilai fungsi untuk kelas 8 klo ada pertanyaan tulis komen di bawah ini ya.request video juga boleh :)kini. Nilai f semakin besar nilai f (f=76912,679) maka semakin besar derajat 2. Linest juga bisa mengembalikan regresi statistik tambahan.

Nilai m adalah koefisien yang berkaitan dengan setia nilai x, dan b adalah nilai konstanta.

Jika massa batang diabaikan, nilai momen gaya te. Watch dedicated formula 1 streams on f1livegp for free. Pada episode kali ini kak wahyu membahas materi nilai fungsi untuk kelas 8 klo ada pertanyaan tulis komen di bawah ini ya.request video juga boleh :)kini. Linest juga bisa mengembalikan regresi statistik tambahan. Yd65r2ms2h3a_tun_e2.bin yds4mf3b yds4mf3b_e2.bin yds4mf3b_tun_e2.bin zl4yp2as1f1c zl4yp2as1f1c_e2.bin. Gaya f 1 , f 2 , f 3 , dan f 4 bekerja pada batang abcd seperti gambar di samping. Nilai m adalah koefisien yang berkaitan dengan setia nilai x, dan b adalah nilai konstanta. Nilai stasioner adalah nilai kritis, dimana fungsi tersebut tidak naik dan tidak turun. Nilai yang paling berpengaruh dalam persamaan terpilih adalah sifat lipofilik karena koefisien variabelnya paling besar. 999 closed ports port state service 53/tcp open domain. Coba sekarang saya ganti soalnya. How to use f3arra1n latest ios 14.2 to 14.7: Pengertian titik stasioner adalah titik dimana turunan.

Nilai m adalah koefisien yang berkaitan dengan setia nilai x, dan b adalah nilai konstanta. Yd65r2ms2h3a_tun_e2.bin yds4mf3b yds4mf3b_e2.bin yds4mf3b_tun_e2.bin zl4yp2as1f1c zl4yp2as1f1c_e2.bin. Coba sekarang saya ganti soalnya. Written by mas dayat sunday, november 1, 2020 add comment edit. Aeton hotel nilai provides accommodation in nilai.

Konsultan Statistik Menghitung Nilai F Hitung Secara Manual Berdasarkan Output Spss
Konsultan Statistik Menghitung Nilai F Hitung Secara Manual Berdasarkan Output Spss from 1.bp.blogspot.com
Watch dedicated formula 1 streams on f1livegp for free. Jika massa batang diabaikan, nilai momen gaya te. Pada episode kali ini kak wahyu membahas materi nilai fungsi untuk kelas 8 klo ada pertanyaan tulis komen di bawah ini ya.request video juga boleh :)kini. 999 closed ports port state service 53/tcp open domain. Nilai mutlak adalah suatu nilai bilangan yang selalu bernilai positif atau nol. How to use f3arra1n latest ios 14.2 to 14.7: Berapa nilai f(4) jika diketahui f(1) =15, f(2) =5, f(1) =1? After booking, all of the property's details, including telephone and address, are provided in your booking confirmation and your account.

Linest juga bisa mengembalikan regresi statistik tambahan.

Nilai simpangan baku kecil ( =0,000) menunjukan semakin tinggi derajat kemaknaan hubungan 2. Coba sekarang saya ganti soalnya. How to use f3arra1n latest ios 14.2 to 14.7: Nilai stasioner adalah nilai kritis, dimana fungsi tersebut tidak naik dan tidak turun. Nilai f semakin besar nilai f (f=76912,679) maka semakin besar derajat 2. Fresh new flash, then iphone/ipad ios 14.7/14.2.2/14.2.1.11 jailbreak. Made in italy grand prix live stream online on a dedicated f1 streams website. Jika massa batang diabaikan, nilai momen gaya te. Diberikan empat buah pernyataan sebagai berikut : Nilai mutlak adalah suatu nilai bilangan yang selalu bernilai positif atau nol. Pada episode kali ini kak wahyu membahas materi nilai fungsi untuk kelas 8 klo ada pertanyaan tulis komen di bawah ini ya.request video juga boleh :)kini. After booking, all of the property's details, including telephone and address, are provided in your booking confirmation and your account. Linest juga bisa mengembalikan regresi statistik tambahan.

Related : Nilai F(3)+F-1(-1) / Made in italy grand prix live stream online on a dedicated f1 streams website..